Classifique Como Monômio Binômio Ou Trinômio

Lista de exercícios de monômios, binômios e trinômios [k5463yzxpq48]. Lista de exercícios de monômios, binômios, trinômios e. Classifique os polinômios abaixo em monômio, binômio ou trinômio: A) 4x + y b) 3xy2 c) xy2 + xy d) 5x2 + 2xy + 3 e) y2 + 2y + 1. Encontre o valor numérico dos polinômios xy + x e x2 + y2 nos Expressão que possui 2 termos (são separados por 1 sinal) trinômio: Expressão que possui 3 termos (são separados pr 2 sinais) 2 votes thanks 3. More questions from this user see all. Nathanlima130 december 2019 | 0 respostas. Salvar salvar lista de exercícios de monômios, binômios e trinôm.

Classifique Como Monômio Binômio Ou Trinômio

Quadrato di un binomio 1^ parte - YouTube

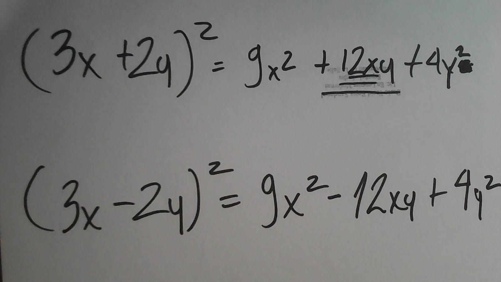
Para ler mais tarde 90% 90% acharam este documento útil, marcar esse documento como útil 10% 10% acharam que esse documento não foi útil, marcar esse documento como não foi útil Um polinômio é uma expressão algébrica formada por 1 ou mais termos. Ou seja, monômio, binômio e trinômio são tipos de polinômios. Em geral, estudamos polinômios com uma única variável, como por exemplo. 4x3 +2x2 −5x+6 4 x 3 + 2 x 2 − 5 x + 6. E a esse polinômio, associamos uma função que chamamos de função. Em matemática, trinómio ou trinômio é uma expressão algébrica de três termos. é um dos dois casos particulares de polinômios que tem um nome especial, o outro é o binômio, que contém dois termos. Como identificar um trinômio do quadrado perfeito para que um trinômio seja quadrado perfeito ele deve ter algumas características:. 5°) classifique como monômio, binômio e trinômio. Um representante comercial recebe um salário composto de duas partes uma parte fixa fixa no valor de r$1500,00 e uma parte de que corresponde a 6% sobre o total de vendas que ele faz durante o mês. se em um mês ele vendeu 150 vendas.

Classifique Como Monômio Binômio Ou Trinômio
factor factorización polinomios común
Classifique Como Monômio Binômio Ou Trinômio
binomio binomios diferencia
Classifique Como Monômio Binômio Ou Trinômio
binomios conjugados cuadrada

-

Como identificar se é monômio binômio ou trinômio? Os chamados binômios são polinômios que possuem somente dois monômios (dois termos), separados por uma operação de soma ou subtração. Já os trinômios são polinômios que possuem três monômios (três termos), separados por operações de soma ou subtração. Tenha acesso a milhões de exercícios de matemática e pratique intensivamente, onde e quando quiser! Marialuizakoch2605 marialuizakoch2605 16. 07. 2021

Classificação de expressões em: monômios, binômios, trinômios e polinômios

Classificando as equações: monômios, trinômios e polinômios com o professor Ítalo Benfica.

Natal/RN

Exercícios com eliminação de parenteses, colchetes e chaves Encontre uma resposta para sua pergunta 2) classifique como monômio, binômio ou trinomio as seguintes expressões algébricas: Juliafefe13j juliafefe13j 05. 04. 2020. Monômio= apenas 1 termo. É um monômio binômio ou trinômio? Quando a expressão possui um termo, ele é chamado de monômio. Já os que possuem dois monômios, ou seja, dois termos, são classificados como binômios. Os que possuem três termos, igualmente separados pelos sinais de positivo ou negativo, são denominados como polinômios trinômios. Os chamados binômios são polinômios que possuem somente dois monômios (dois termos), separados por uma operação de soma ou subtração. Já os trinômios são polinômios que possuem três monômios (três termos), separados por operações de soma ou subtração.

  • Classificação de expressões em: monômios, binômios, trinômios e polinômios (Read More)
  • CLASSIFICAÇÃO DE MONÔMIOS, BINÔMIOS, TRINÔMIOS E POLINÔMIOS (Read More)
  • 🔡[EXPRESSÕES ALGÉBRICAS 8º ANO]✅ O que são Monômios Binômios Trinômios e Polinômios #EXPRESSÕES #MAT (Read More)
  • Monômio, Binômio, Trinômio e Polinômio. (Read More)