Determine Os Zeros Da Função Y 5x 2

Determinar os zeros de uma função f(x) é resolver a equação f(x)=0 assim: Sendo delta um número negativo a equação não possui raízes reais. Como se trata de um usuário de curso superior então podemos achar as raízes complexas da equação: Pergunta determine os zeros das funções a seguir: A) y = 5x + 2 b). • a maior rede de estudos do brasil. Determine os zeros das funções a seguir: A) y = 5x + 2 b) y =. Faça parte da maior rede de estudos do brasil crie seu perfil e veja essa e outras milhares de perguntas respondidas. About press copyright contact us creators advertise developers terms privacy policy & safety how youtube works test new features press copyright contact us creators.

Determine Os Zeros Da Função Y 5x 2

determine o zero da funcao y=5x + 2 - Brainly.com.br

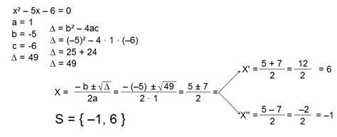
Determinar o zero da função é o mesmo que igualar a. 27. 03. 2018 matemática ensino superior respondido determine o zero da função: Y=5x+2 1 ver a resposta anúncio anúncio usuário está aguardando sua ajuda. O produto vetorial entre os vetores u~ = (3,−2, 1) e ~v = (2, 5, 0) é igual a: O zero (raiz) de uma função afim corresponde o momento em que o gráfico intercepta o eixo das abscissas, ou seja, y (x) = 0. Isolando o valor de x determinamos o zero da função: O zero da função é: Para saber mais sobre função afim, acesse: As raízes da função são determinadas pela resolução da equação de segundo grau: F(x) = ax 2 +bx + c = 0.

Determine Os Zeros Da Função Y 5x 2
zeros polynomial function rational finding functions example ppt

-

Para resolver a equação do 2º grau podemos utilizar vários métodos, sendo um dos mais utilizados é aplicando a fórmula de bhaskara, ou seja: Enviada por ingrid inha para escola frei cassiano comacchio na disciplina de matemática • a maior rede de estudos do brasil Você sabe determinar os zeros em exercícios sobre função do 1º grau? O zero da função y = 5x + 2 é o valor: Façamos y = 0, então:

Função Afim - Determinar Zero da Função

Determine os zeros das funções a seguir:
a) y = 5x +2
b) y = - 2x
c) f(x) = x/2 + 4

Prof Rafael Morais
Matemática

1 poliedro convexo possui 12 vertice em 4 delas tem 3 arestas em outras 4, 5 arestas e nos 4 restantes tem 4 arestas, quantas faces. A) o gráfico da função y = x² + 2x não intercepta o eixo y. B) o gráfico da função y = x² + 3x + 5 possui concavidade para baixo. D) a equação x² + 25 = 0 possui duas raízes reais e diferentes. Enviada por paula cristina santos para ee antonio linhares guerra na disciplina de matemática • a maior rede de estudos do brasil entrar 4 al(s) + 3 o2(g) → 2 al2o3(s) a) determine a massa de óxido de alumínio formada a partir da reação de 8,1 g de alumínio. Please enter comments please enter your name. Please enter the correct email address. Agree to terms and service. You must agree before submitting.

  • Função Afim - Determinar Zero da Função (Read More)
  • Aula 03 - Função do Segundo Grau (Função Quadrática): Zero da Função Quadrática (Read More)
  • Determine os zeros das funções a seguir:... (Read More)
  • Função Afim 03: Zero da função Afim (Read More)